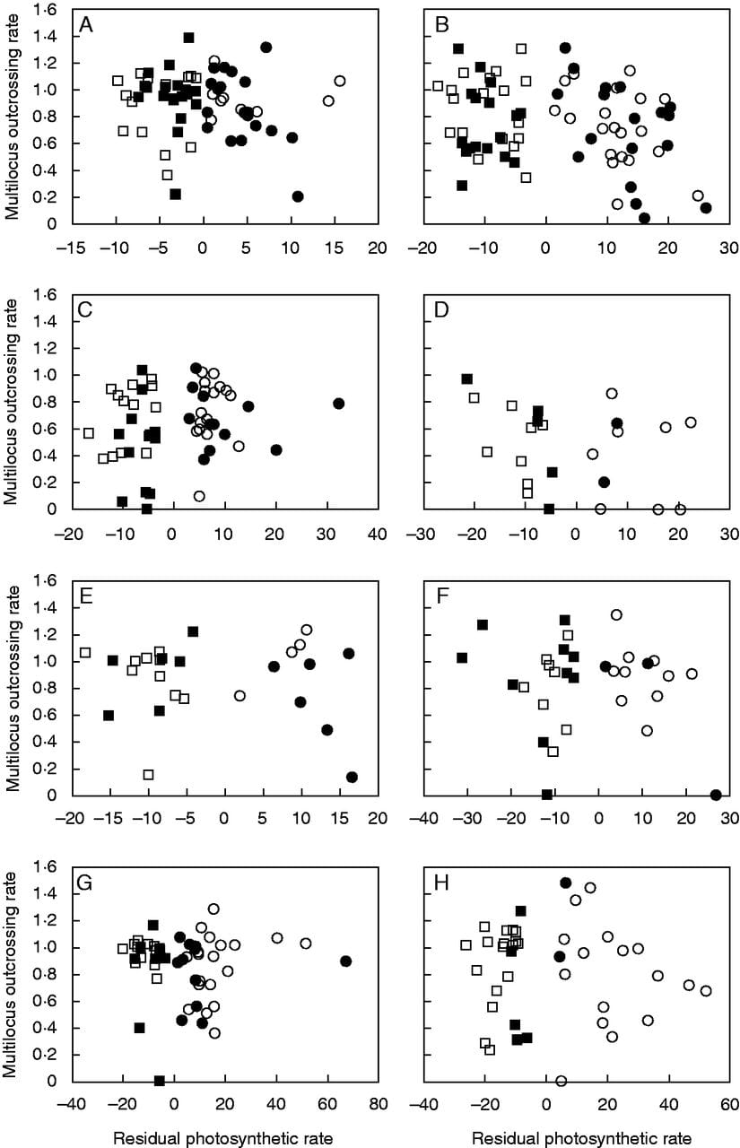
Adaptive hypotheses to explain the evolution of self-fertilisation in plants are well-characterised, but alternative evolutionary pathways are underexplored. The mating systems and photosynthetic rates of some sister Clarkia have diverged in parallel, an evolutionary pattern that could have evolved through genetic correlations or as a result of independent transitions.

Ivey et al. examine photosynthetic and outcrossing rates within multiple wild populations of two mixed-mating Clarkia taxa over two years. Within-population trends that mirror the between-taxon divergence would support the hypothesis of genetic correlation. Despite substantial variation in both traits, there was no consistent pattern observed within populations, suggesting that the between-taxon divergence more likely reflects independent evolutionary transitions.
