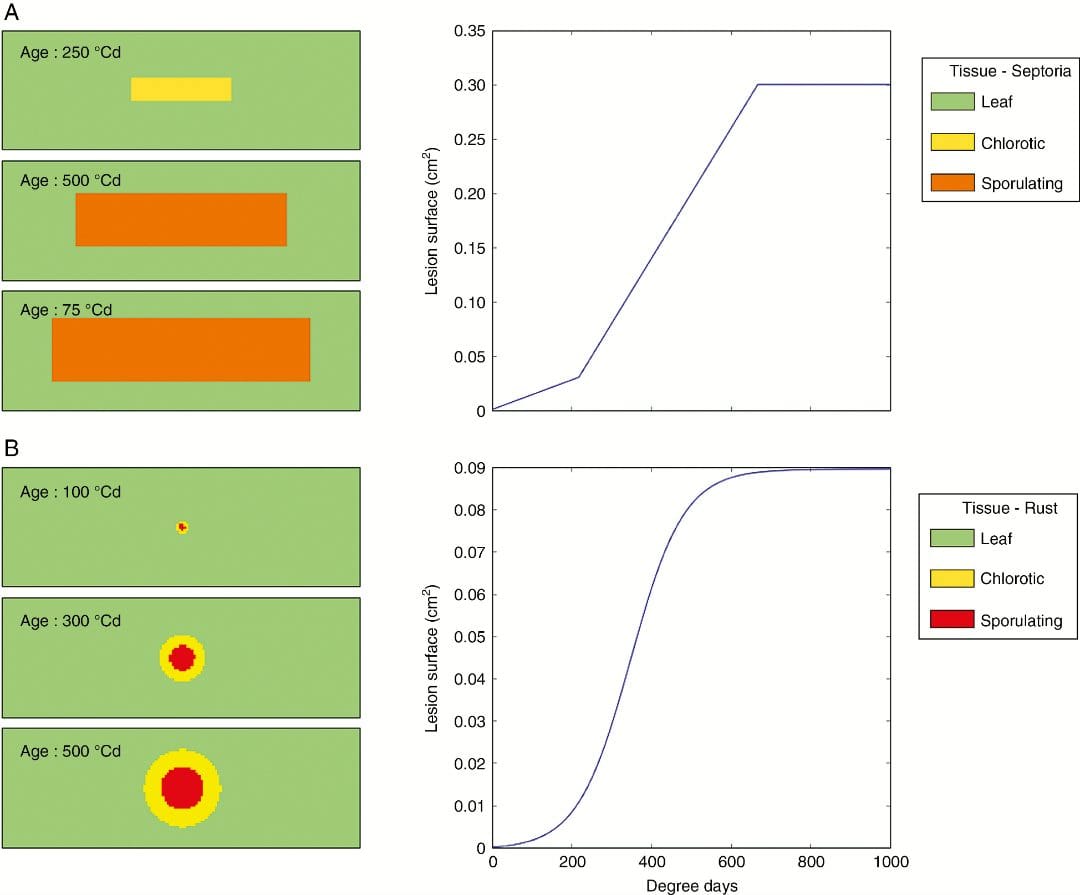
This study presents a new model combining two wheat fungal diseases, caused by Zymoseptoria tritici (septoria) and Puccinia triticina (brown rust), with a functional-structural plant (FSP) model of wheat. Most epidemiological models focus on a single type of pathogen, ignoring the interactions between different fungal parasites competing on the same host and how properties of the canopy impact them.

Garin et al. simulated these processes from the leaf scale to the 3D canopy scale to explore the complex dynamic interactions between these pathogens and the plant in diverse conditions. Using FSP modelling helps to understand how canopy properties influence the development of competing pathogens.

This paper is part of the Annals of Botany Special Issue on Functional-Structural Plant Growth Modelling. It will be free access until June 2018, then available only to subscribers until April 2019 when it will be free access again.
