Apomixis (asexual seed formation) generates clonal plants with a maternal genotype. Apomictic Hieracium subgenus Pilosella species mitotically form female gametes, with the seed’s embryo and endosperm developing autonomously (without fertilisation). Henderson et al. examine expression of the dominant autonomous endosperm (AutE) trait in progeny of crosses characterised by female gametes forming mitotically or sexually via meiosis, and requiring fertilisation for embryo formation.

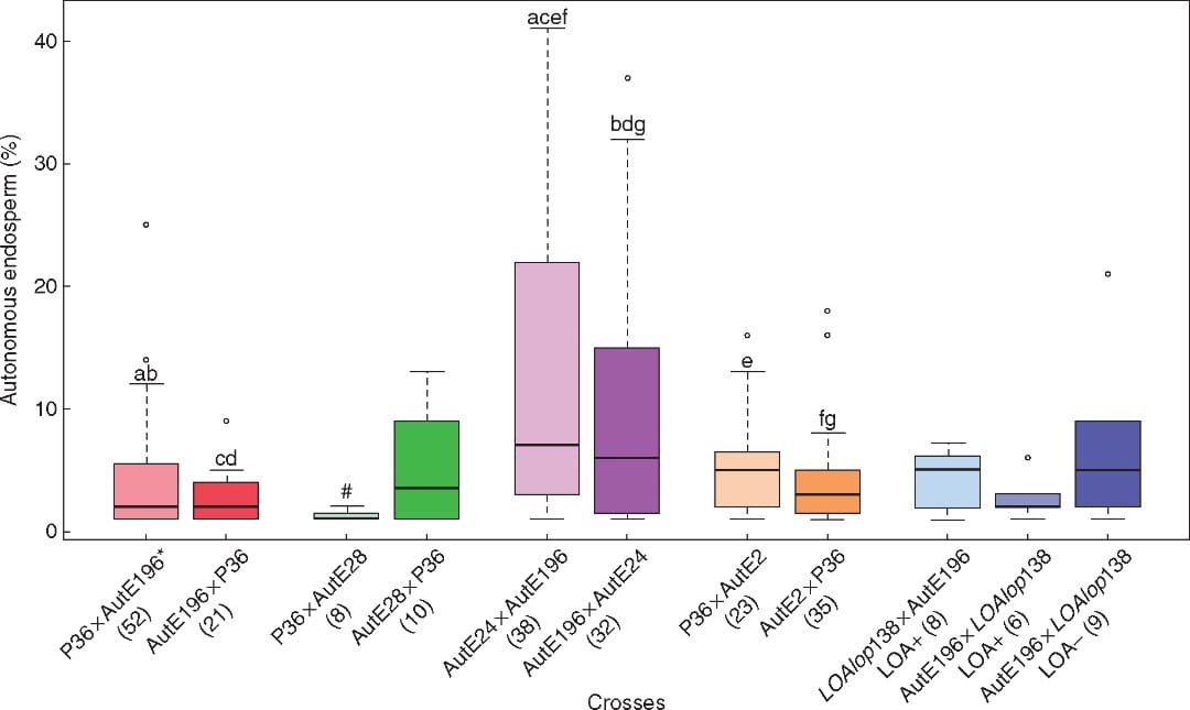
Box-and-whisker diagram for the proportion of ovules with autonomous endosperm in populations from various crosses.
Box-and-whisker diagram for the proportion of ovules with autonomous endosperm in populations from various crosses. Boxes represent first and third quartiles, and the band inside each box indicates the median. Whiskers correspond to 95 % confidence intervals. Outliers are represented by circles. The number of progeny exhibiting the autonomous endosperm trait is shown in parentheses beneath each cross. The statistical significance (P < 0·05) of differences in autonomous endosperm expressivities between different crosses was determined by the Mann–Whitney U-test and is shown by paired letters above relevant cross populations. #This cross was not included in quantitative statistical analysis of autonomous endosperm because of a high frequency of embryo sac abortion that was potentially confounding. *This cross was reported previously (Ogawa et al., 2013). LOA+ and LOA– depict progeny that are aposporous and non-aposporous, respectively.

Concluding that the mode of female gamete formation does not significantly influence AutE expressivity, the authors suggest that further research into other genetic factors in addition to AutE could help to establish the high trait expression found in apomicts. A linkage group bearing the AutE locus was identified.