Decreased crop photosynthetic rates are a major consequence of root flooding as severe perturbations of the photosynthetic machinery result from elevated levels of reactive oxygen species (ROS). Phytoglobins (Pgbs) are ubiquitous proteins induced by several types of stress that affect plant response by modulating nitric oxide.

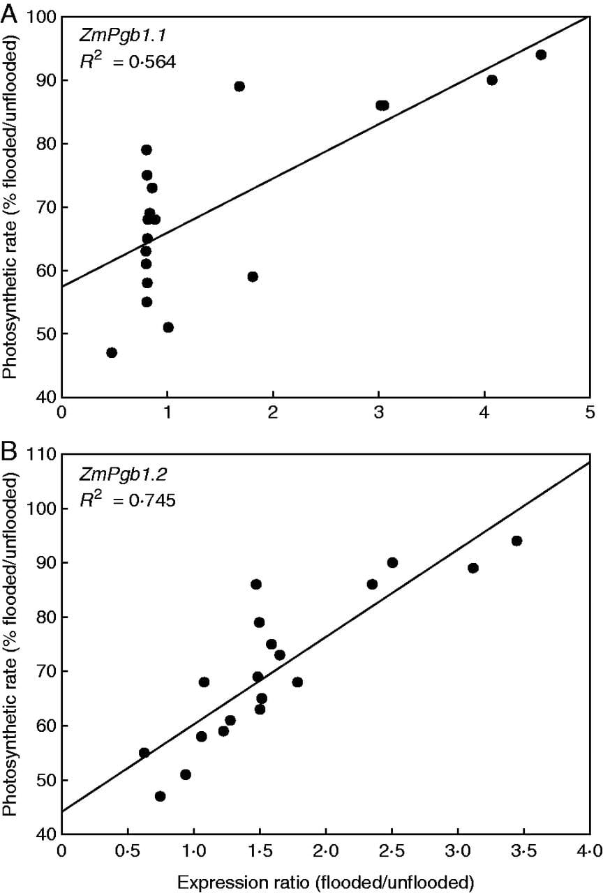
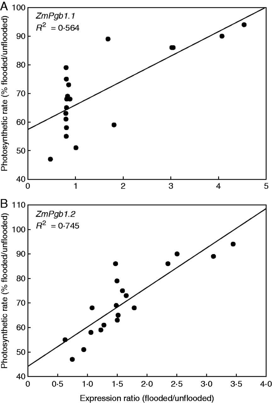
Youssef et al. demonstrate that elevating the expression of the heme protein, phytoglobin, in root-flooded maize results in greater retention of photosynthesis due to phytoglobin’s role in reducing leaf damage by ROS. The study shows a correlation between maize cultivars exhibiting increased expression of one of the phytoglobins, Pgb1.2, during flooding and a sustained rate of photosynthesis in the plants post-submergence, with far-reaching implications for the breeding of maize with improved flooding tolerance.
