Most Silene species possess either diurnal or nocturnal pollination syndromes. Prieto-Benítez et al. study a Silene species with mixed floral features to reveal the finely tuned relationships between flower responses such as petal opening, nectar production and scent emission, and overall pollination success as governed by complementary circadian rhythms.

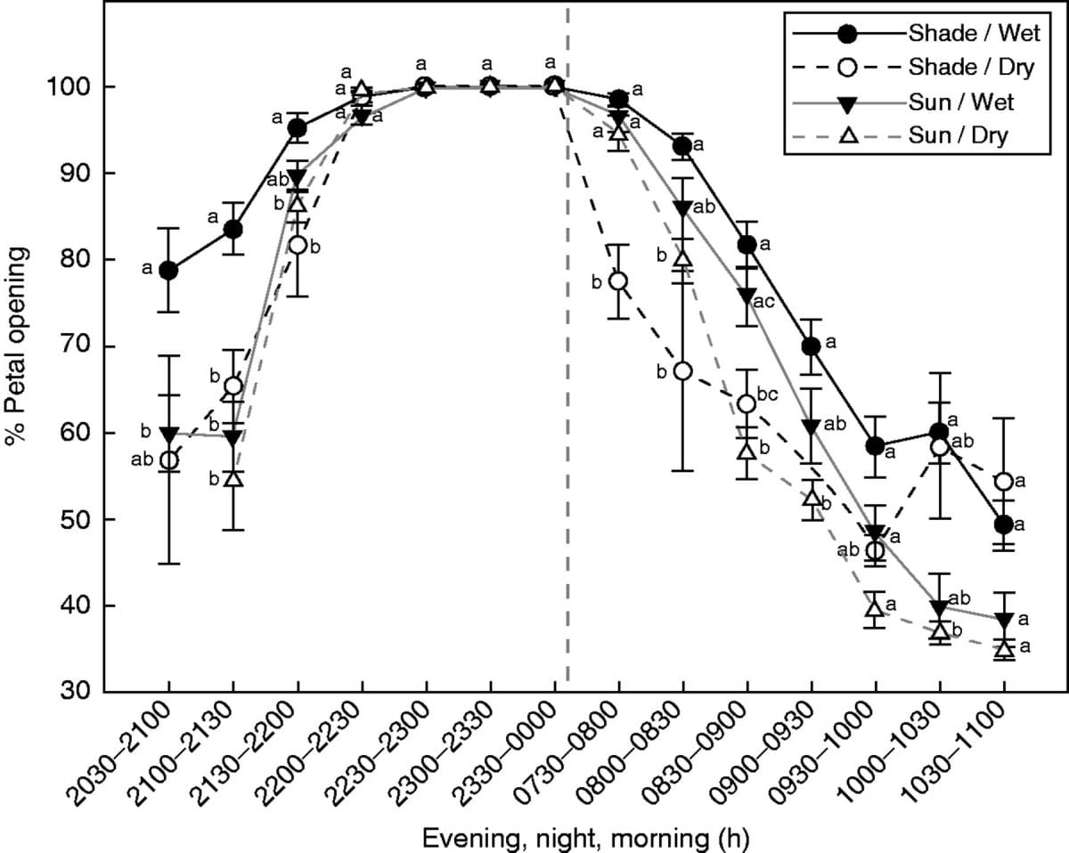
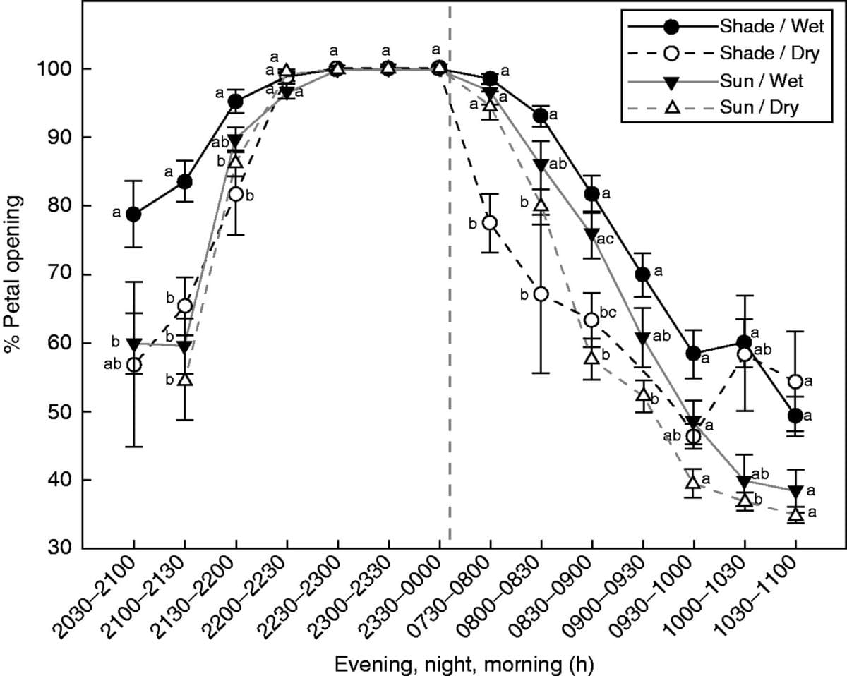
The circadian rhythm regulating floral attractiveness and reward in S. colorata is predominantly adapted in favour of noctural flower visitors, and petal opening at dusk is correlated with nectar secretion and higher scent production during the night. However, when the environmental conditions were experimentally changed, the optimal time of flower attraction and pollination is shown to lengthen into the morning; petals remained open in the morning, when nectar and pollen were still available. Pollen deposition was similarly effective at night and in the morning, but less effective in the afternoon. These results, confirmed by field studies, suggest that diurnal pollination may help to guarantee the plant’s reproductive success when nocturnal pollinators are scarce.
