The special issue on pollinator-driven speciation is available with free access now. We covered a few of the papers last year, but now they’re all free. One of the more puzzling papers is Novel adaptation to hawkmoth pollinators in Clarkia reduces efficiency, not attraction of diurnal visitors by Miller, Raguso and Kay. Why would a plant make its pollination less efficient?
Miller et al. look at the effect of novel pollinators. If new pollinators arrive, or plants move into an area with pollinators they’ve not encountered before, there’s a resource to exploit. They looked at Clarkia concinna and C. breweri which have parapatric distributions. Parapatric wasn’t a word that I knew so I had to look it up. They’re species that live next door to each other without overlap.

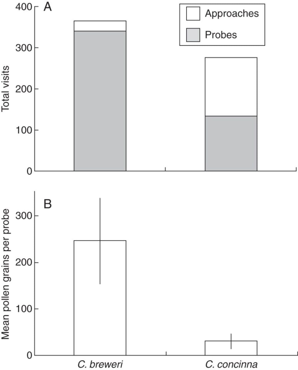
C. concinna and C. breweri get different visitors. Miller et al. wanted to find out what it was that caused this difference. Was it the different ranges the plants live in, or was it floral differences? So they examined visits to arrays of the plants and also created arrays that had the two species of plant at a shared location. They could then see if the flowers from one species were more attractive to certain pollinators than another.
What they found was that diurnal visitors were happy to visit both plants. Even hawkmoths were happy to visit C. concinna even though it looked like C. breweri had evolved traits to attract them. The difference was due to pollinators in different ranges. Puzzle solved.
However, this opens another problem. If C. concinna and C. breweri share the same visitors, how could the differentiate? They could swap pollen so there should have been gene flow between the populations and so no divergence. Miller et al. cut through this by reducing the effectiveness of flowers down to two attributes. Attraction is one, the flower has to get the pollinators to visit. The other is efficiency, once there the flower has to get the pollinator to carry the pollinator away.
C. breweri might pull in many visitors, but the ones that really work are the hawkmoths, thanks to the adaptations it has made. The hawkmoths could visit C. concinna but they weren’t so successful in depositing pollen. It’s no surprise then, given the issue the paper is in, that it seems that it’s the effectiveness of the pollinators that seems to be driving differentiation.

It also shows some of the complexity of evolution, including that the premise of question is wrong. Often simple explanations of evolutionary changes are that a plant changed something in order to…. This is an simplification because teleology doesn’t work in evolution, plants don’t do something in order to get a future pay-off. Likewise Miller et al. show that Clarkia didn’t change to attract new pollinators, more that once new pollinators are available there’s an advantage to work better with those. In the case of Clarkia natural selection worked in favour of plants that could use hawkmoths, and once that happened the descendants became less able to swap pollen with the older population. Instead they tended to swap with each other, until the differences were so great they were a new species.
The key here is the difference ranges of the Clarkia species. It’s not simply that they’ve attracted a new pollinator, they’re not in a position to attract the pollinators of their ancestors. Miller et al. point out that the situation for species that share the same patch will be different. When examining pollinator-driven speciation, it’s not simply a matter of attraction, they argue but also a matter of availability of novel-pollinators and the quality of those visits.
Miller T.J., Raguso R.A. & Kay K.M. (2013). Novel adaptation to hawkmoth pollinators in Clarkia reduces efficiency, not attraction of diurnal visitors,
Annals of Botany, 113(2) 317-329. DOI: http://dx.doi.org/10.1093/aob/mct237
