Local adaptation is common but not universal in plants and results from the interplay of gene flow with natural selection. Gene flow can increase local genetic variation and population size, which boost a species’ adaptive potential, but excessive immigration from environmentally distinct areas may also ‘swamp’ local adaptation. Considerable research effort has focused on the impact of gene flow on local adaptation. Less attention has been paid to how local adaptation affects the potential for range shifts under climate change. It is also unclear whether any effects would be the same across plants with different life history types.

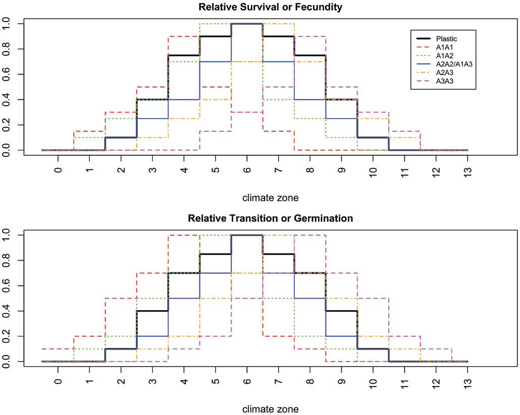
In a new Editor’s Choice article in AoBP, Emily Moran uses a simulation model to explore how local adaptation in plants may shape responses to climate shifts. Simulated range shift dynamics were compared for hypothetical annual, perennial and tree species, each comprised of either one plastic genotype or six locally adapted genotypes. The simulated landscape consists of shifting climate bands made up of 20 × 20 m patches containing multiple individuals. Effects of seed dispersal, breadth of the plastic species’ tolerance, steepness of the climate gradient and rate of the climate shift were also examined. The results of the study showed that when local adaptation improved plant survival and reproduction the edge of a species’ range, this increased the area occupied under a stable climate and usually improved tracking of climate shifts (as shown in the figure above). Local adaptation yielded the biggest benefit for low-dispersal annual species. However, the area occupied by the species can still lag behind climate change, even when the period of change and the distance to reach newly suitable areas are both short. This is especially true of trees; locally adapted trees sometimes exhibited greater lags than those not locally adapted. These results suggest that in most situations local adaptation and longer dispersal distances will be advantageous, though not necessarily sufficient, for tracking suitable climates. However, local adaptation might put species with long generation times at greater risk when climate shifts are very rapid. Moran hopes that the results of this study, if confirmed by empirical tests, might aid in prioritising appropriate management actions.
