Light is the most important input parameter for a photosynthesis model. Modelling the distribution of solar radiation intercepted by leaves in a plant canopy is difficult because the spatial arrangement of leaves creates a complex field of shadows and sunflecks. Traditional models do not directly consider sunflecks and shadows on individual leaves, but instead use a statistical approach to determine average light levels across the canopy, which can then be input to a photosynthesis model, among others.
Three-dimensional (3D) models that explicitly represent every leaf in the canopy have become an increasingly valuable tool for understanding interactions between plant structure and function. In this class of model, light is usually averaged over an entire leaf rather than the entire canopy. It is often implicitly assumed that representing every leaf in the canopy provides superior model performance compared to traditional statistical modeling approaches.
Professor Brian Bailey and Postdoctoral researcher Eric Kent of the Department of Plant Sciences at University of California, Davis demonstrate that averaging over an entire leaf (as is typically done in 3D models) can result in much larger errors in whole-canopy photosynthesis than traditional statistical models. They show that 3D leaf-resolving models must faithfully represent shadows on leaves, necessitating much higher model resolutions than are currently used by the community.
“Shadows cast by neighboring leaves in a plant canopy create extremely large spatial gradients in absorbed radiation at the sub-leaf scale, which are usually not fully resolved in “leaf-resolving” models. This failure to resolve sharp radiative gradients can propagate to other dependent biophysical models, and result in dramatic over prediction of whole-plant and -canopy fluxes,” says Bailey.
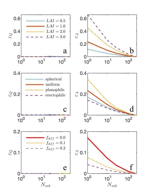
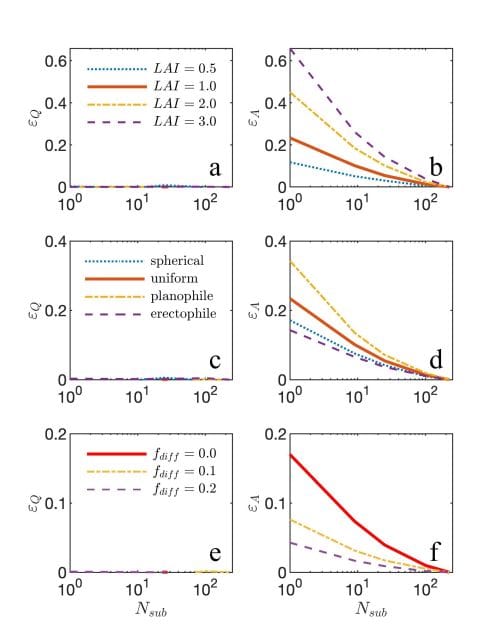
The authors used Helios, a three-dimensional plant and environmental modeling framework previously created by Bailey, to determine how variation in canopy structure affects model outputs of radiation absorption and canopy photosynthesis. They considered three factors that affect canopy structure:
- The angle of leaves within a canopy affects light interception. Leaf angles were generated according to one of four theoretical distribution types.
- The size of the canopy and its density also affect light interception and is measured as leaf area index (LAI) – the ratio of leaf area per unit ground area. The number of leaves in the canopy were chosen to achieve one of four LAI values: 0.5, 1.0, 2.0, and 3.0 (listed in order of open to dense).
- Light quality is as important as quantity. Direct radiation is light coming directly from a direct path from the sun. Diffuse radiation is the light that has been scattered by molecules and particles. Diffuse radiation fraction is the ratio of diffuse to global solar radiation. Plants use diffuse light more efficiently than direct light. Separate simulations were performed with varying diffuse radiation fraction: 0, 0.1 and 0.2 (listed in order of less to more diffuse radiation).
They found that canopy configurations that reduce radiation entropy are more sensitive to error in canopy photosynthesis estimations. Errors were found to increase for canopy configurations (1) with increased LAI, as the canopy became denser, (2) when leaf angle distribution was more horizontal causing the fraction of leaf area projected in the direction of the sun to increase, and (3) when the fraction of incoming diffuse radiation was decreased.
To test the effect of resolution on model output, the authors manipulated the number of sub-elements per leaf. For each simulation, the number of sub-elements per leaf were: 1, 9, 100 and 225 per leaf (low to high resolution).

When only one element per leaf was used (i.e., resolution as a whole leaf), errors in photosynthesis were very high (>100%). Errors decreased exponentially as the number of elements per leaf was increased.

“We think that these results will encourage researchers to more closely consider the impact of sub-leaf resolution on model errors. While we do not recommend any specific resolution, as this will vary by plant model and canopy geometry, it is likely to prompt an increase in model resolution relative to current common practice,” says Bailey.
RESEARCH ARTICLE:
Brian N Bailey, Eric R Kent, On the resolution requirements for accurately representing interactions between plant canopy structure and function in three-dimensional leaf-resolving models, in silico Plants, 2021;, diab023, https://doi.org/10.1093/insilicoplants/diab023
