
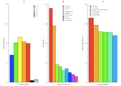
There is mounting evidence that we have entered the sixth mass extinction period, where species diversity is being lost at an unprecedented rate. Cycads are the most threatened plant group in the plant kingdom, and thus a recent study published in AoB PLANTS by Mankga and Yessoufou investigated the factors that correlate with the extinction risk of this plant lineage. The authors identified nine groups of threats, including habitat loss, over-collection, fire and reproductive failure. Their analysis revealed that some of these threats are not randomly distributed along the cycad tree of life, suggesting that closely related species may be exposed to similar threats. They also identified a number of significant predictors of extinction risk linked to the biology and ecology of cycads. Collectively, their results elucidate the pattern of extinction risk in cycads.
